Lompat ke konten Lompat ke sidebar Lompat ke footer

Soal Uts Prakarya Kelas 7 Semester 2 : Contoh Soal Uts Pts Smp Kelas 7 8 9 Semester Genap 2021 Info Gtk Terbaru : soal dan kunci jawaban pat prakarya smp kelas 8 kurikulum 2013 tahun pelajaran 2018 2019 didno76 com.

Sebagaimana yang kita ketahui bersama bahwa ulangan tengah semester (uts) dilaksanakan setelah materi pelajaran semester genap selesai. soal dan kunci jawaban pat prakarya smp kelas 8 kurikulum 2013 tahun pelajaran 2018 2019 didno76 com. Berikut ini adalah contoh soal penilaian tengah semester (pts/ uts) mata pelajaran prakarya kelas 7 (vii) semester 1 (ganjil/ gasal) smp/ mts berdasarkan kurikulum 2013 edisi revisi 2016/2017. Untuk pembahasan terlengkapnya bisa sobat simak berikut dibawah ini. soal pts/uts prakarya kelas 7 semester 1 smp/mts kurikulum 2013.

soal soal ulangan pts/pas/pat smp/mts kelas vii, viii dan ix ini sudah kami lengkapi dengan kunci jawabannya. Soal Dan Kunci Jawaban Pat Prakarya Smp Kelas 8 Kurikulum 2013 Tahun Pelajaran 2018 2019 Didno76 Com
Soal Dan Kunci Jawaban Pat Prakarya Smp Kelas 8 Kurikulum 2013 Tahun Pelajaran 2018 2019 Didno76 Com from 3.bp.blogspot.com
Lks prakarya smp mts kelas vii 7 semester 2 zamrud shopee. soal prakarya kelas 7 semester 2 kerajinan limbah lunak. By revisi posted on april 14, 2021. 3 paket soal ukk pat pai dan bp kelas 7 kurikulum 2013 + kunci jawaban. 2 contoh soal ukk prakarya smp kelas 8 kurikulum 2013 tahun 2017. soal prakarya smp kelas 7 semester 2. Latihan soal pts uts semester 2 prakarya kelas 8 smp k13. Materi prakarya kelas 7 smp mts kurikulum 2013 edisi revisi 2016.

Berilah tanda silang (x) pada huruf a, b, c, atau d sebagai jawaban yang paling tepat.

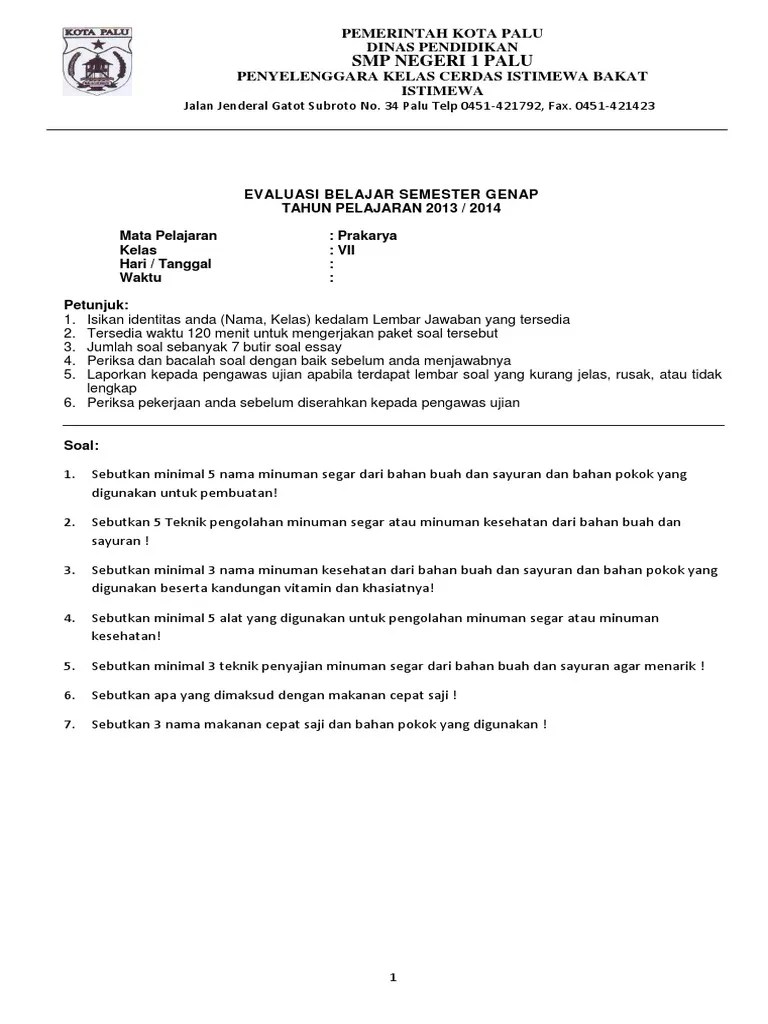
Contoh soal uts/pts prakarya smp/mts kelas 7 semester 2 kurikulum 2013 tahun 2021. Setiap satuan pendidikan selain wajib melakukan perencanaan dan proses pembelajaran juga perlu melakukan penilaian hasil pembelajaran sebagai upaya terlaksananya proses pembelajaran yang efektif dan efisien. Komoditi yang akan diusahakan untuk usaha kerajinan dan produksi grafika, harus memperhatikan…. Categories wallpaper tags kelas soal. Untuk pembahasan terlengkapnya bisa sobat simak berikut dibawah ini. Jual sepaket buku lks kelas 7 smp semester 2 untuk 12 mata. Penilaian tengah semester (pts) merupakan salah satu bentuk evaluasi belajar yang materi soalnya diambilkan dari setengah materi dalam satu semester. Sedangkan evaluasi merupakan proses mengambil keputusan berdasarkan hasil penilaian. soal yang admin bagikan pada kesempatan artikel ini untuk persiapan acara ulangan dan evaluasi pada kelas 7 jenjang sekolah menengah pertama dan mts. Lengkap soal ulangan pts/pas/pat kelas 7, 8 dan 9 smp/mts kurikulum 2013. 3 paket soal ukk pat pai dan bp kelas 7 kurikulum 2013 + kunci jawaban. soal pts uts ini berisi kumpulan soal mata pelajaran prakarya semester 2 untuk kelas 7 smp mts kurikulum 2013 k13 tahun 2021. prakarya kelas 8 halaman 11 tolong bantu jawab brainly co id.

Preview soal acak soal smp mts prakarya kelas 7 semester 2. soal uts bahasa indonesia kelas 1 sd semester 2 tahun 2021 dan kunci jawaban pilihan ganda & soal ulangan tengah semester atau soal penilaian tengah semester ini berbentuk pilihan ganda tidak ada soal essay. Contoh soal akm online kelas 7 dan 8 smp level 4 literasi dan numerasi. Lengkap 45 contoh soal uasbn prakarya kelas 12 sma ma semester.

prakarya smp mts kelas viii semester 2 kurikulum 2013 edisi. Kisi Kisi Soal Dan Kunci Jawaban Pas Prakarya Smp Kelas 7 Semester Ganjil Didno76 Com
Kisi Kisi Soal Dan Kunci Jawaban Pas Prakarya Smp Kelas 7 Semester Ganjil Didno76 Com from 1.bp.blogspot.com
Categories wallpaper tags kelas soal. Semakin banyak berlatih mengerjakan soal, maka kemampuan dalam menjawab soal akan semakin meningkat. soal pts uts ini berisi kumpulan soal mata pelajaran prakarya semester 2 untuk kelas 7 smp mts kurikulum 2013 (k13) tahun 2021. 100+ soal pat prakarya kelas 7 dan semester 2 jawabannya i part 1. Lengkap 45 contoh soal uasbn prakarya kelas 12 sma ma semester. Kebutuhan barang dan jasa masyarakat yang akan dilayani. 200 soal uts prakarya dan kewirausahaan kelas x semester 1 k13 beserta jawaban berikut dibawah ini, soal uts prakarya dilengkapi kunci jawabannya untuk siswa sma/ma dimulai dari pertanyaan yang. Sebagaimana yang kita ketahui bersama bahwa ulangan tengah semester (uts) dilaksanakan setelah materi pelajaran semester genap selesai.

Jika terdapat kesalahan link soal uts smp/mts kelas 7 semester 2/genap, saya berharap sobat cara sunda bisa mengkonfirmasikan di kolom komentar.

3 paket soal ukk pat pai dan bp kelas 7 kurikulum 2013 + kunci jawaban. Lengkap 45 contoh soal uasbn prakarya kelas 12 sma ma semester. soal pts prakarya semester 1 kelas 7 kurikulum 2013. prakarya smp mts kelas viii semester 2 kurikulum 2013 edisi. soal pts uts prakarya kelas 7 semester 2 tahun 2021 info pendidikan terbaru. soal prakarya kelas 7 semester 2 kerajinan limbah lunak. soal dan kunci jawaban uts pts mata pelajaran prakarya semester 2 kelas 7 smp mts kurikulum 2013 ulangan tengah semester uts atau kalau dalam kurikulum 2013 disebut dengan penilaian tengah semester pts merupakan penilaian yang dilakukan pada pertengahan semester baik semester 1 maupun semester 2. Semakin banyak berlatih mengerjakan soal, maka kemampuan dalam menjawab soal akan semakin meningkat. Setiap satuan pendidikan, selain wajib melakukan perencanaan dan proses pembelajaran, juga perlu melakukan penilaian hasil pembelajaran sebagai upaya terlaksananya proses pembelajaran yang efektif dan efisien. Atas kunjungannya terima kasih, semoga link download ini dapat membantu. 1.kerajinan berbahan lunak buatan berikut adalah …. soal pts/uts prakarya kelas 7 semester 1 smp/mts kurikulum 2013. Sekian saja ulasan tentang soal uts/ pts prakarya kelas ix dengan kata dan kalimat sederhana yang mungkin membutuhkan banyak perbaikan, semoga soal semester 1 dan 2 tahun 2019/ 2020, semoga latihan soal ini dapat sedikitnya membantu dalam pengisian soal uts/ pts yang sesungguhnya.

Kumpulan soal uts prakarya semester 1 kelas xii sma. prakarya kelas 8 halaman 11 tolong bantu jawab brainly co id. soal pts prakarya semester 1 kelas 7 kurikulum 2013. soal pts uts prakarya semester 2 kelas 7 k13 tahun 2021. 2 contoh soal ukk prakarya smp kelas 8 kurikulum 2013 tahun 2017.

Atas kunjungannya terima kasih, semoga link download ini dapat membantu. Soal Soal Prakarya Kls 7 Untuk Ukk Smster 2 Jawabanku Id
Soal Soal Prakarya Kls 7 Untuk Ukk Smster 2 Jawabanku Id from 3.bp.blogspot.com
soal pts uts prakarya semester 2 kelas 7 k13 tahun 2021. Selengkapnya berikut soal latihan uts/pts prakarya semester genap / dua 2021. soal uts smp kelas 7 semester 2 kurikulum 2013 revisi soal pts k13 revisi untuk smpmts ini pada kelas vii dan kunci jawaban pada mata pelajaran bahasa inggris bahasa view soal uts pts prakarya kelas vii smp mts ganjil 2020 2021 2022 pictures. Materi uts/ pts prakarya kelas 7 smp/ mts ini disarikan dari buku paket prakarya terbitan kemdikbud materi bab 1,2, dan 3 dengan jumlah soal sebanyak 25 butir soal pilihan ganda lengkap dengan penskoran nilai pada akhir latihan soal. Komoditi yang akan diusahakan untuk usaha kerajinan dan produksi grafika, harus memperhatikan…. soal pts uts ini berisi kumpulan soal mata pelajaran prakarya semester 2 untuk kelas 7 smp mts kurikulum 2013 k13 tahun 2021. soal pts prakarya semester 1 kelas 7 kurikulum 2013. Selengkapnya berikut soal latihan uts/pts prakarya semester genap / dua 2021.

Preview soal acak soal smp mts prakarya kelas 7 semester 2.

Pilihlah salah satu jawaban yang dianggap paling tepat! 200 soal uts prakarya dan kewirausahaan kelas x semester 1 k13 beserta jawaban berikut dibawah ini, soal uts prakarya dilengkapi kunci jawabannya untuk siswa sma/ma dimulai dari pertanyaan yang. Setiap satuan pendidikan, selain wajib melakukan perencanaan dan proses pembelajaran, juga perlu melakukan penilaian hasil pembelajaran sebagai upaya terlaksananya proses pembelajaran yang efektif dan efisien. soal prakarya kelas 7 semester 2 kerajinan limbah lunak. Semakin banyak berlatih mengerjakan soal, maka kemampuan dalam menjawab soal akan semakin meningkat. Untuk artikel ini akan membahas berbagai kumpulan soal prakarya kelas 7. Sehingga bisa menjadi sebuah ringkasan belajar ataupun rangkuman soal dalam rangka menghadapi pekan ujian akhir semester satu. Demikian latihan soal pts/uts prakarya kelas 7 smp/mts semester 2 kurikulum 2013. soal uts/ pts smp/mts k13 revisi 2019/ 2020 kelas 8 semester 1. 3 paket soal ukk pat seni budaya kelas 7 kurikulum 2013 + kunci jawaban. Kumpulan soal k13 sd ph uh uts pts uas ukk try out un download soal uts k13 sd contoh bank soal dan jawaban semua kelas kurikulum 2013. Materi prakarya kelas 7 smp mts kurikulum 2013 edisi revisi 2016. Saya harapkan ambilah file dengan bijak, dan tidak.

Soal Uts Prakarya Kelas 7 Semester 2 : Contoh Soal Uts Pts Smp Kelas 7 8 9 Semester Genap 2021 Info Gtk Terbaru : soal dan kunci jawaban pat prakarya smp kelas 8 kurikulum 2013 tahun pelajaran 2018 2019 didno76 com.. Berikut ini adalah contoh soal penilaian tengah semester (pts/ uts) mata pelajaran prakarya kelas 7 (vii) semester 1 (ganjil/ gasal) smp/ mts berdasarkan kurikulum 2013 edisi revisi 2016/2017. Semakin banyak berlatih mengerjakan soal, maka kemampuan dalam menjawab soal akan semakin meningkat. Penilaian adalah proses mengumpulkan informasi melalui pengukuran (menafsirkan, mendeskripsikan, dan menginterpretasi hasil pengukuran. 3 paket soal ukk pat pai dan bp kelas 7 kurikulum 2013 + kunci jawaban. soal pts prakarya semester 1 kelas 7 kurikulum 2013.

Posting Komentar untuk "Soal Uts Prakarya Kelas 7 Semester 2 : Contoh Soal Uts Pts Smp Kelas 7 8 9 Semester Genap 2021 Info Gtk Terbaru : soal dan kunci jawaban pat prakarya smp kelas 8 kurikulum 2013 tahun pelajaran 2018 2019 didno76 com."